본격적인 글에 앞서서 푸리에 변환이라는 단어를 CTFS, CTFT, DTFT, DTFS, DFT를 포괄하는 개념으로 사용할 것이다. 신호의 형태에 따라서 치환해서 이해해주기를 바란다.
신호처리를 공부하다보면 개인적으로 제일 햇갈렸던 부분이 CTFS, CTFT, DTFT, DTFS, DFT를 구분하는 것이었다. 결과적으로 원신호를 정현파의 형태로 분리할 수 있다는 점에서 시작되었고, 신호를 구성하는 정현파의 크기 및 위상을 정하는 방법이다. 그러나 신호의 종류에 따라서 조금씩 달라지게 되는 데, 크게 2 가지 기준을 가지고 4 개의 변환 방식으로 분류된다.
푸리에 변환의 원리에 대해서 간단하게 설명하자면 신호를 정현파의 합으로 표현할 수 있다는 것에서 시작한다. 정현파의 합으로 표현하기 위해서는 각 주파수의 정현파가 가지는 크기와 위상을 구하여야 하는데, 이를 구하는 것이 푸리에 변환이다. 즉 푸리에 변환은 주파수의 관점으로 신호를 다시보는 것과 같다. 푸리에 변환에 대한 자세한 설명은 밑의 링크를 참고하기 바란다.
https://messy-developing-diary.tistory.com/40
푸리에 변환(Fourier Transform)
푸리에 변환(Fourier Transform, FT)는 시간 혹은 공간에 대한 함수를 주파수 성분으로 분해하는 변환을 말한다. 복잡한 하나의 신호가 있다고 가정해보자. 우리는 이 신호를 복잡한 하나의 신호로 생
messy-developing-diary.tistory.com
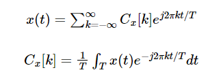
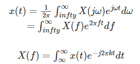
각 푸리에 변환을 포시하면 다음과 같다.





각각 유도하는 방식이 있지만, 이 글에서 설명하지는 않겠다. 각 변환을 구분하는 데 기준이 있다.
첫 번째는 FS vs FT이다. FS인가 FT인가의 차이는 신호의 주기성에 있다. 주기 함수의 경우 신호를 구성하는 모든 주파수가 신호의 주파수의 배수 형태일 것이다. 그렇기에 연속 신호이든 비연속 신호이든 수열의 형태로 표시할 수 있다.다.FS(Fourier Series)라 부르는 것도 이러한 이유다. 반대로 비주기 신호의 경우, 신호를 구성하는 정현파 주파수들은 특정 주파수의 배수가 아니다. 비주기 신호를 정현파의 합으로 표현하기 위해서는 0Hz의 주파수를 가지는 정현파부터 작은 간격으로 주파수를 키워가며 해당 주파수를 가지는 정현파의 크기와 위상을 알아야할 것이다. FT에서 신호를 표현할 때 적분으로 표시하는 것도 그 이유이다.
두 번째는 CT vs DT이다. CT는 Continuous Time, 연속된 신호이고, DT는 Descrete Time, 즉 비연속 신호이다. 시간의 영역에서 CT는 연속적이고 DT는 불연속적이다. 이는 주파수 영역에서의 연속성에서도 들어난다. DT 계열은 특정 간격의 주파수를 가진 정현파들로 신호가 이루어진다. 일종의 샘플링을 수행한 함수이기 때문에 샘플링 주파수보다 더 높은 주파수의 신호를 감지할 수 없고, 샘플링 주기의 배수의 주기를 가지는 정현파들만 제대로 감지할 수 있기 때문이다.(정확히 말하자면 샘플링 주파수의 절반의 주파수 이하만 제대로 구현할 수 있을 것이다.)
2 개의 기준을 조합하여 CTFS, CTFT, DTFT, DTFS로 구성된다. DFT는 좀 다르기는 한다. 가정을 해보자. 만약에 컴퓨터에서 외부로 부터 신호를 읽는다고 가정한다. 컴퓨터는 디지털로 신호를 읽고(FS), 신호 역시 비주기 신호이다. 그렇게 되면 푸리에 변환을 수행하는 데 무한을 다루어야한다는 문제가 생긴다. 그 문제를 해결하기 위하여 사용하는 것이 DFT이다. 원리는 일단 저장한 데까지만이라도 푸리에 변환을 하자는 것이다.
자세한 유도 과정에 대해서도 한 번쯤은 보는 걸 추천한다. 간단히 언급만 하자면, CTFS에 대해서 정현파들이 직교성(Orthogonality)을 만족한다는 것을 이용해서 증명하고, 나머지 변환에 대한 증명은 여기서 파생된다. 이 것으로 글을 마친다.
'컴퓨터 과학 > Digital Signal Processing' 카테고리의 다른 글
| FFT Algorithm, Cooley-Tukey Algorithm (0) | 2023.04.10 |
|---|---|
| 푸리에 변환(Fourier Transform) (0) | 2023.01.06 |
| Exercise 2 : Conv 함수의 구현 (0) | 2022.12.27 |
| Exercise 1 : DSP 실습 준비(여러 함수들 준비) (0) | 2022.12.20 |
| 1. Digital Signal Processing, 신호와 시스템 (0) | 2022.12.01 |